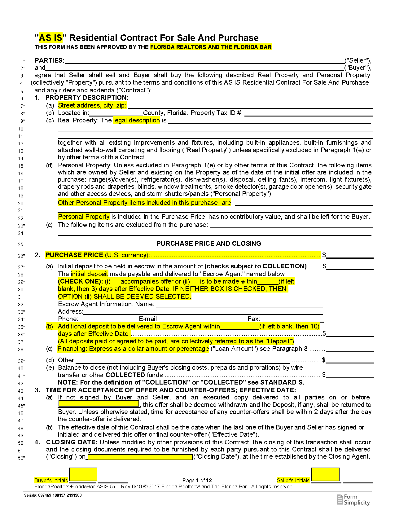
Buying Process
From decision to closing, review the timeline of your purchase.

Determine & confirm “where” factors
- Determine the most important factors related to where you will move to.
- If you have school age children you want to review our school guide (use the search tool and enter the text "school"), visit the campuses, and speak with a few teachers and parents before you decide where you will buy
- If its about lifestyle you have to think about where the things are that you will be doing so that you are not too far because the long and constant driving will get old fast.
- Use our decision tools to help you figure this out yourself

Purchase Preparation
- Get pre-approved for any financing and a recently dated copy of the Pre-approval and/or letter
- Get an authoritative letter for any purchase that is cash
-
Determine the single factor in which you are willing to be most flexible:
- Condition (pristine to poor)
- Location (more preferred vs. less preferred)
- Price (cheaper vs more expensive)
- Document the desired features of your ideal target home using our target home profile tool so that you can clearly express and also share what you are looking for
- Pick a full-time agent who respects your investment and can actually negotiate better than yourself
- Sign a "Loyalty Agreement" or "Buyer Broker Agreement" to protect the agent you will be working with from unscrupulous actions from other agents

Search for Property
Consumer websites like Zillow, Trulia and Realtor.com only allow Buyers to enter basic search parameters:
- Cities/Zipcodes
- # Bedrooms
- Square feet
- Price Range $X to $Y
Agent's search tools provide Buyers with more detailed options
Filter and require or remove additional features such as:- Country club communities with mandatory equity fees
- Condo-hotels
- Adult communities that restrict by age
- If the home you are interested in is under contract(may fall out of contract)
- Association fees less than $X
- Within specific school zones
- In a building with an elevator
- In a building with greater than or less than X stories
- # of floors
- # of units in building
- On a lake, bay, intracoastal, or beach/ocean
- gated/non-gated
- community amenities

Set your expectations
- Be strict with (focused in) your search criteria, even as you change your criteria.
- Know what (and where) you can buy TODAY (not 2 years ago) in your price range. You can always change it.
- Available property will come and go - especially the good homes and good offers.
- Getting a property starts with securing it. You won't have a chance at getting it until you first take it away from the other home hunters. Get a contract signed - you can always back out.
- Buying a house is like picking up a sport you haven't played in a long time - you wont gain the comfort and confidence until you start doing it. Get prepared and make offers! You can always back out.
- Saying you are "not in a rush" is silly - there is no notion fast or slow because you have no choice. Either you are:
- In the market where you must compete and be quick
- Running around with no hope of accomplishing anything
- Just spectating
- Don't look for "unicorns". Any great deal that appears on the public market was already sold and is being posted as a formality or for an agent to get leads. The best deals are found DURING the course of making an offer on something realistic, which is when you learn about the seller's actual situation
- You are going to get beat out sometimes. In some markets you may have to make more aggressive offers with some short-term risk. Do it, you'll get through it!

Submit, Negotiate, & Execute Offers
- This is not the time to be reserved - its all timing
- Typical offers have a backout period, so you can safely make multiple offers and just back out
- Negotiate and Execute offers
Know your key contract dates/deadlines
There will be a series of deadlines that the parties to the transaction will have to meet
inspection period - after which buyer cannot back outfinancing - when buyer secures financingdeposits - a series of small deposits representing increasing commitmentappraisal and survey - valuation of the home and official definition of property limitsassociation and/or club application and approval - if the community requiresinsurance - secure policy prior to closingclear title - evidence and verification of transferable ownershippreliminary closing statement - closing costs. Usually commission + 1.5% for sellers and just 1.5% for buyersclosing - date, time and place

Resolve Pending Items
Wait for results of
- "contingency period" - initial period during which the buyer can back out
- Bank appraisal and survey - Buyer gets bank approval for mortgage
- Any application for HOA/Club - buyer approval by the community if required
- Title clearance - proving there are no doubts that question the current ownership
- Buyer gets insurance
- Preliminary ATLAS closing costs confirmed by all parties
- Buyer transfers remaining cash required
- Walkthrough

Closing on your new place
The closing DOES NOT HAVE TO BE IN PERSON. You can pre-sign from a distance! Otherwise you can show up in person and:
- Bring 2 forms of Identification
- Provide closing agent with your bank routing information
- Sign legal and bank documents
- Get keys, codes, and clickers
